This page requires a JavaScript-enabled browser
Instructions on how to enable your browser are contained in the help file.
Question
1
2
3
4
5
6
7
8
9
10
<<This message will be removed when you register >>
Technologie - allgemeine Chemie - Teil 8 (Tomchemie-Forum)
1.
In wieviel verschiedene Ionen zerfällt Na2SO4 bei der Dissoziation in Wasser?
2
4
6
8
2.
Welche Aussage entspricht der Säuredefinition nach Brönsted?
Säuren verursachen eine Farbänderung bei pH-Indikatoren
Säuren reagieren mit Basen unter Bildung von Salzen und Wasser
Säuren sind Stoffe, die sich an Verbindungen mit freien Elektronenpaaren anlagern
Säuren sind Stoffe, die Protonen abgeben können.
3.
Welches Teilchen kann nach Brönsted als Säure reagieren?
NH4+
O2-
Cl-
ClO4-
4.
Welches Teilchen kann nach Brönsted nicht als Base reagieren?
OH-
NH3
H3O+
CH3COO-
5.
Welche Gleichung beschreibt kein korrespondierendes Säure-Base-Paar nach Brönsted ?
HClO4 <-> H+ + ClO4-
NaCl <-> Na+ + Cl-
H3O+ <-> H+ + H2O
OH- <-> H+ + Cl-
6.
Welches Säureanhydrid bildet mit Wasser die stärkste Säure?
CO2
Cl2O7
SO3
P2O5
7.
Welche Dissoziationsgleichung zu den folgenden Doppelsalzen und Komplexsalzen ist falsch? (Formeln ohne Kristallwasser!)
KAl(SO4)2 <-> K+ + Al3+ + 2 SO4 2-
(NH4)2Fe(SO4)2 <-> 2 NH4+ + Fe 2+ + 2 SO4 2-
KMgCl3 <-> K+ + Mg 2+ + 3 Cl-
[Cu(NH3)4] <-> Cu 2+ + 4 NH3 + SO4 2-
8.
In welcher Auswahlantwort ist das Löslichkeitsprodukt von PbCl2 richtig formuliert?
L(PbCl2) = c(Pb 2+) * c(Cl-)
L(PbCl2) = c(Pb 2+) + 2c(Cl-)
L(PbCl2) = c(Pb 2+) * 2c(Cl-)
L(PbCl2) = c(Pb 2+) * c hoch 2 (Cl-)
9.
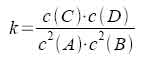
Für die Reaktion 2 A + 2 B <-> C + D lautet das MWG (siehe Bild). Was geschieht, wenn die Konzentration von A erhöht wird?
Die Konzentration von C steigt, die von B fällt.
Die Konzentration von C fällt.
Die Konzentration von B verdoppelt sich
Die konstante k ändert ihren Wert.
10.
In welcher Auswahlantwort stehen Bedingungen, die alle die Lage des chemischen Gleichgewichts verschieben können?
Konzentrationsänderung, Druckänderung, Temperaturänderung
Katalysator, Druckänderung, Temperaturänderung
Konzentrationsänderung, Katalysator, Temperaturerhöhung
Druckänderung, Konzentrationsänderung, Katalysator
Click me to change the background color!
Top