|
1.2 Größengleichungen in Chemie und Physik |
Größengleichung = Formel
| Nr. | Größe, Gesetz | Größengleichung (Formel) | Bemerkung |
|
Ausgewählte Begriffe der Physik |
|||
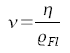
| 1 | Geschwindigkeit |
|
Gilt nur für gleichförmige Geschwindigkeit |
| 2 |
Beschleunigung |
|
- |
| 3 | Freier Fall |
|
Norm - Fallbeschleunigung gn s. K8 S. 1.1.3 |
| 4 |
|
||
| 5 | Dichte |
|
Einheiten:
g/ml, g/cm3
und/oder kg/m3 ρ ist temperaturabhängig |
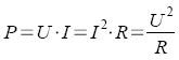
| 6 | Kraft |
|
|
| 7 | Druck |
|
Einheiten: Pa, bar, mbar Nur für Luftdruck hPa |
| 8 | Hydrostatischer Druck |
|
|
| 9 | Arbeit |
|
Elektrische Arbeit s. 80 |
| 10 | Hubarbeit |
|
|
| 11 | Beschleunigungsarbeit |
|
|
| 12 | Leistung |
|
Elektrische Leistung s. 79 |
| 13 | Wirkungsgrad |
|
|
Stöchiometrie
Bei der Angabe von n, M, Vm ... muss im Sinne der Mol - Definition auch das Teilchen X angegeben werden, auf das sich die Größe bezieht, z. B. n(X)
"Einzelteilchen ET" wird als Oberbegriff für die Teilchen Atom, Atomgruppe, Molekül, Ion, Radikal angewendet.
| Nr. | Größe, Gesetz | Größengleichung (Formel) | Bemerkung |
| 14 | Molare Masse |
|
,
|
| 15 | Molares Volumen |
|
|
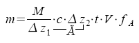
| 16 | Stöchiometrische Massenverhältnis |
|
Stoffportion 1 mit Teilchen X, Stoffportion 2 mit Teilchen Y |
| 17 | Masse des Atoms A in der Stoffportion |
|
m: Masse der Stoffportion a: Anzahl der Atome A im Einzelteilchen ET
|
| 18 | Massenanteil des Atoms A in der Stoffportion |
|
|
| 19 | Stöchiometrischer Faktor |
|
Siehe auch Analytischer Faktor 59 |
| 20 | Elektrische Ladung eines Einzelteilchen |
|
z: Oxidationszahl A, B, ...: Anzahl der Atome A, B... im Einzelteilchen |
Lösungen
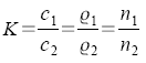
Mischphasen - Gehaltsgrößen nach DIN 1310
Bei der Angabe von n, m, c, V... muss auch das Teilchen X angegeben werden, auf das sich die Größe bezieht, z. B. m(Lsm).
Lsg: Lösung
Lsm: Lösemittel
gel.S.: gelöster Stoff
| Nr. | Größe, Gesetz | Größengleichung (Formel) | Bemerkung |
| 21 | Massenanteil |
|
Veraltet "Massenprozent" Einheit %, z. B. g/100g |
| 22 | Massenkonzentration |
|
Auch "Partialdichte" Einheit z. B. g/l |
| 23 | Stoffmengenkonzentration, Molarität |
|
Einheit mol/l |
| 24 | Beziehung
zwischen
|
|
Bezogen auf den gelösten Stoff |
| 25 | Volumenkonzentration |
|
Veraltet "Volumenprozent" Einheit % z. B. ml/100 ml |
| 26 | Volumenanteil |
|
σ unterscheidet sich im Zahlenwert von φ bei Volumenkontraktion. Anwendung sinngemäß auch bei Gasgemischen |
| 27 | Stoffmengenanteil |
|
Veraltet "Molenbruch" |
| 28 | Molalität |
|
Einheit mol/kg |
| 29 | Löslichkeit |
g/100 g Lsm ist in Tabellen üblich |
r.S. max: Maximal lösliche Masse des reinen Stoffes (r.S.) L* ist stark temperaturabhängig |
| 30 | Mischungsgleichung |
|
Mischungskomponenten 1 und 2, Gem: Gemisch Es gilt m1 + m2 = mGem |
| 31 | Massenverhältnis |
|
Sind m1 und m2 nicht bekannt, kann nur das Massenverhältnis berechnet werden |
Wärmelehre - Gasgesetze
| Nr. | Größe, Gesetz | Größengleichung (Formel) | Bemerkung |
| 32 | Thermodynamische Temperatur |
|
Tn = 273,15 K |
| 33 |
Längenausdehnung, Lineare Ausdehnung |
|
α : Linearer Ausdehnungs- koeffizient |
| 34 |
Volumenausdehnung, Kubische Ausdehnung |
|
γ : Kubischer Ausdehnungs- koeffizient |
| 35 | Beziehung zwischen γ und α |
|
- |
| Nr. | Größe, Gesetz | Größengleichung (Formel) | Bemerkung |
| Zustandsgleichungen der Gase | |||
| 36 |
Isobare Form (1. Gesetz von Gay - Lussac) |
|
Index 1: Zustand 1 Index 2: Zustand 2 p = konst. |
| 37 |
Isochore Form (2. Gesetz von Gay - Lussac) |
|
V = konst. |
| 38 |
Isotherme Form (Gesetz von Boyle u. Mariotte) |
|
T = konst. |
| 39 | Allgemeine Form |
|
Oder
|
| 40 | Adiabate Form |
|
Ohne Wärmezu- und abfuhr
vgl. 50 |
| 41 | Allgemeines Gasgesetz |
|
Allgemeine Gaskonstante
Index O: Im Normzustand vgl. K3 und K4 1.1.3 |
| 42 | Osmotischer Druck |
|
- |
| Nr. | Größe, Gesetz | Größengleichung (Formel) | Bemerkung |
| Gasgemische | |||
| 43 |
Partialdruck in Gasgemischen (Daltonsches Gesetz) |
|
Gem: Gemisch A, B, ...: Komponenten des Gemisches |
| 44 | Verhältnis der Partialdrucke |
![]() |
φ: Volumenanteil
|
| 45 | Druck- u. Volumenanteil Stoffmengenanteil |
|
Ideales Verhalten der Gase vorausgesetzt |
| 46 | Raoultsches Gesetz |
![]() |
po-p: Dampfdruckerniedrigung x(gel.S.): Stoffmengenanteil des gelösten Stoffes |
| 47 | Dampfdruckerniedrigung in verdünnten Lösungen |
|
i: van´t Hoffscher Koeffizient, s. 103, 104 |
| 48 | Wasserdampfdestillation |
|
Massenverhältnis in der Dampfphase |
| Nr. | Größe, Gesetz | Größengleichung (Formel) | Bemerkung |
| Wärmeenergie | |||
| 49 | Wärmekapazität |
|
Wärmekapazität eines Körpers, einer Stoffportion |
| 50 | Spezifische Wärmekapazität |
|
cp: bei konstantem Druck cv: bei konstantem Volumen vgl. 40 |
| 51 | Molare Wärmekapazität |
|
- |
|
52 53 |
Wärmemenge |
|
Zu- oder abgeführt |
|
Aufgenommene Wärmemenge = Abgegebene Wärmemenge Q1 = Q2 |
|||
| 54 | Wärmemischungsgleichung |
|
JM : Temperatur der Mischung |
| 55 |
Bei c1 = c2 |
|
- |
| 56 | Schmelzwärme |
|
q : spezifische Schmelzwärme |
| 57 | Verdampfungswärme |
|
r : spezifische Verdampfungswärme |
| 58 | Enthalpieänderung |
|
U : Innere Energie p * ΔV : Volumenarbeit |
Gravimetrie
| Nr. | Größe, Gesetz | Größengleichung (Formel) | Bemerkung |
| 59 | Analytischer Faktor |
|
A: Zu bestimmender Stoff a: Anzahl von A im Teilchen der Wägeform |
| 60 |
Ergebnis einer gravimetrischen Analyse |
m (Zu bestimmender Stoff) = m (Auswaage) * Analytischer Faktor * fA | fA: Aliquotierfaktor |
Volumetrie
| Nr. | Größe, Gesetz | Größengleichung (Formel) | Bemerkung | |
| 61 | Titer einer Maßlösung |
|
Veraltet
"Faktor"
Zur rechnerischen Korrektur einer nur angenähert gestellten Molarität in die genaue Molarität der Maßlöung. |
|
| 62 | ||||
| 63 |
Ergebnis einer
- volumetrischen Analyse (Titration)
- Redox - Titration |
Zu bestimmender Stoff | Maßlösung | z1;
2: Oxidationszahlen V: Volumen der verbrauchten Maßlösung (ml) t: Titer fA: Aliquotierfaktor Δz1; 2: Änderung der Oxidationszahlen Ä: Maßanalytische Äquivalentmasse; Zahlenwerte für die rechnerische Vereinfachung werden tabelliert, s. Tabellenbuch |
|
|
||||
| 64 |
|
|||
Elektrizitätslehre
| Nr. | Größe, Gesetz | Größengleichung (Formel) | Bemerkung |
| 65 | Ohmsches Gesetz |
|
I: Stromstärke U: Spannung R: Widerstand |
| 66 | Widerstand |
|
ρ: spezifischer Widerstand l: Länge des Leiters S: Querschnitt des Leiters |
| 67 | Leitwert |
|
Einheit S (Siemens) |
|
68 69 |
Reihenschaltung von Widerständen |
|
- |
|
|
- | ||
|
70 71 72 73 |
Parallelschaltung von Widerständen (Kirchhoffsche Gesetze)
|
|
- |
|
|
- | ||
|
|
Bei nur 2 Widerständen |
||
|
|
- | ||
| 74 | Elektrizitätsmenge |
|
Einheit 1 A * s = 1 C (Coulomb) |
|
75 76 |
Elektrolytische Abscheidung (Faradaysche Gesetze) |
|
abg.S.: abgeschiedener Stoff z: Ladungszahl des Ions F: Faraday-Konstante s. K6 1.1.3 η: Stromausbeute |
|
|
|||
|
77 78 |
Elektrochemisches Äquivalent |
|
mä: Zur rechnerischen Vereinfachung tabelliert, s. Tabellenbuch |
|
|
|||
| 79 | Elektrische Leistung |
|
Einheit W (Watt), bei Wechselspannung auch VA (Voltampere) |
| 80 | Elektrische Arbeit |
|
Einheit z.B. Ws, kWh |
| 81 | Wärmewirkung des elektrischen Stromes | - | 1Ws = 1J |
Ausgewählte Chemisch - technische Untersuchungen
Ausgewählte Physikalisch - chemische Rechnungen
| Nr. | Größe, Gesetz | Größengleichung (Formel) | Bemerkung |
|
82 83 |
Viskosität, dynamische (Meßverfahren nach Höppler)
Viskosität, kinematische |
|
Einheit Pa * s, mPa * s K: Kugelkonstante ρK: Dichte Kugelmaterial pFl: Dichte Flüssigkeit t: Fallzeit der Kugel |
![]() |
|||
| 84 | Elektrolyte Massenwirkungsgesetz "MWG" Gleichgewichtskonstante Für Rechnungen anzusetzen |
![]() Ebenso Kp für Gase Kc für Lösungen
|
Reaktion aA + bB ↔ cC + dD n: Stoffmenge p: Druck c: Konzentration Kc analog |
| 85 | Dissoziationsgrad |
|
N: Anzahl der Moleküle |
| 86 | Dissoziationskonstante |
|
Reaktion AB ↔ A+ + B- |
| 87 | Ostwaldsches Verdünnungsgesetz |
|
≈ für praktische Rechengenauigkeit, bei α < 1% |
| 88 | Elektrolytische Leitfähigkeit |
|
l: Abstand der Elektroden A: Fläche der einzelnen Elektrode |
| 89 | Molare Leitfähigkeit, Äquivalentleitfähigkeit |
|
c in mol/ml |
| 90 | Beziehung zwischen α und Λ |
|
Λo: Maximalwert, Grenzwert |
| 91 | Ionenprodukt des Wassers |
|
Kw = KD(H2O) * c(H2O) Zahlenwerte s. Tabellenbuch |
|
92 93 |
pH-Wert |
pH = -lg {c(H)} {c(H+)} = 10-pH |
c in mol/l {} heißt: "Zahlenwert von" H+ sind hydratisiert |
|
94 95 |
Gleichioniger Zusatz, Puffern, Abstumpfen |
|
- |
| 96 | Löslichkeitsprodukt |
|
Für AB ↔ A+ + B- Für AaBb ↔ aA+ + bB- |
| 97 |
Verteilungskoeffizient (Nernstscher Verteilungssatz) |
|
Konzentration oder Stoffmengen zweier Komponenten |
| Molare Masse | |||
|
98 99 100 101 102 |
Aus Gasgesetzen
Aus Dampfdruckerniedrigung
Siedepunkterhöhung
|
![]() |
- |
|
|
|||
|
b: Molalität, vgl. 28 Km: molale Gefrierpunkterniedrigung, Kryoskopische Konstante Kb: molale Siedepunkterhöhung, Ebullioskopische Konstante Zahlenwerte s. Tabellenbuch |
|||
|
|
|||
|
103 104 |
van´t Hoffscher Koeffizient |
|
α: Dissoziationsgrad ν: maximale Anzahl der Ionen eines Moleküls fa: Aktivitätskoeffizient |
| Optische Meßverfahren | |||
| 105 |
Refraktometrie Brechungsgesetz |
|
Medien 1 und
2 ni: Brechzahlen |
|
106 107 108 109 110 |
Photometrie Durchlässigkeit Absorption Extinktion Lambert - Beersches Gesetz |
|
Φ: Lichtstrom, a austretend, e eintretend |
|
|
- | ||
|
|
- | ||
|
|
ε: molarer Extinktionskoeffizient εsp: spezifischer Extinktionskoeffizient c(X): Stoffmengenkonzentration der Teilchen X |
||
| 111 |
Polarimetrie Drehungswinkel |
|
d:
Schichtdicke Küvette ρ*: Massenkonzentration des gelösten Stoffes |
| [α]: spezifischer Drehungswinkel | |||
| Elektrodenpotentiel und Elektromotorische Kraft | |||
|
112 113 114 |
Elektrodenpotentiel und Elektromotorische Kraft (Nernstsche Gleichung) |
![]() |
Eo: Standardpotential R: Gaskonstante T: Absolute Temperatur z: Ladung des Ions F: Faraday - Konstante a: Aktivität des Ions in der Lösung Für praktische Rechnungen
und In zu lg zusammengefaßt: bei 15°C 0,057 bei 20°C 0,058 bei 25°C 0,059 Zur Berechnung von Redox - Potentialen z. B. in der Maßanalyse |
![]() |
|||
![]() |
|||